摘要
本文提供了軟硬結合電路板設計指南,用於開發核心體溫(CBT)感測器設備。這些指南是通用的,可以應用於多個溫度感測應用,需要高精度(± 0.1°C)。這些建議已在德克薩斯州A&M大學和亞德諾半導體(ADI)共同開發的CBT感測器設備中實施。該CBT設備採用了四個MAX30208溫度感測器裝置,用於測量熱通量,以準確估計受測者的CBT。
介紹
本文提供的指南旨在幫助設計師在設計高精度(±0.1°C)溫度感測電路時,識別並減輕多個潛在問題領域。通過最近CBT設計的示例,展示了熱、電和機械方面的同時處理以及適當的權衡措施。這些設計考慮將幫助設計師:
► 學習如何識別與開發準確CBT感測設備相關的設計挑戰、權衡和減輕技術。
► 學習如何為遠程患者監測應用設計可靠的軟硬結合印刷電路板。
► 應用熱流和機械結構考慮的設計指南。
► 應用軟硬結合PCB製造的設計指南。
CBT裝置設計概述
CBT貼片是作為一種靈活的可穿戴熱感測設備開發的,能夠準確估算人類的CBT(見圖1a)。圖1b突出顯示了熱設備的主要組件。該設備由四個溫度傳感器(MAX30208)組成,這些傳感器分離在具有不同熱導率的材料之間,以準確量化CBT。這些溫度傳感器在1.8 V的供電電壓下提供0.1°C的精度,支持低功耗操作。一個溫度傳感器設備位於PCB的中心,兩個溫度傳感器設備位於PCB的中間和邊緣,第四個傳感器位於柔性指尖的頂部,該指尖彎曲在頸部區域向剛性-柔性PCB的中心彎回(見圖1c)。

圖1. CBT裝置設計。(a)將可穿戴熱感測裝置概念應用於額頭以估算人類CBT的示意圖;(b)CBT貼片的3D爆炸視圖;(c)軟性CBT貼片的人體組織側面;(d)軟性CBT貼片的側視圖。
CBT貼片旨在監測手術前、手術過程中和手術後的人類患者。此類環境的 typ ical 環境溫度範圍為 20°C 至 24°C,最大空氣對流速率為 5 W/m2 K。正常的額頭核心體溫在 36°C 至 38°C 的範圍內。低於 36°C 是一種稱為低溫的狀況,高於 38°C 是一種稱為高溫的狀況。這兩種狀況都被認為是嚴重的,因此在手術的所有階段都需要進行監測。
熱流佈局設計考量
CBT貼片裝置旨在使用兩個MAX30208溫度感測器從人體組織表面測量垂直熱流,如圖2所示。 MAX30208溫度感測器用TS標籤標示。另外兩個溫度感測器(如圖1所示)有助於考慮橫向熱損失。來自溫度感測器的數據,結合導熱塞和絕緣體的熱模型,用於準確估算人類額頭的CBT。
為了完成這項任務,帶有溫度感測電路的軟硬結合PCB需要:
►集成高精度的溫度感測器。
►具有足夠低的功耗(溫度感測器),以不會對感興趣的熱系統造成不良影響。
►具有足夠大小的訊號線路,用於電信號傳輸。
►具有尺寸最小化的訊號線路,以減少從(或到)MAX30208溫度感測器的熱流,從而不會對熱系統產生不良影響。
►具有尺寸最小化的訊號線路,以減少從PCB線路(即I2R損耗)向導熱塞區域的熱輻射。

圖2。主要的溫度感測路徑(非比例)。
通過實施選定的導熱/絕緣材料,物理結構建立了一種設計,可以準確估算額頭的CBT。將這種機械設計與精確的低功率溫度感測器(例如MAX30208器件)結合起來,就可以產生成功的設計。然而,對於電子設備所需的電氣連接也導熱——這是一種不希望的現象!
圖3突出了感興趣的主要熱流路徑。人們希望設計PCB線路的熱阻非常大,以相比導熱塞,使得這些熱損失(或增益)誤差可以忽略不計。

圖3。突出顯示主要熱流路徑的簡化熱原理圖。
由於熱和電都是通過電子運動傳輸的,它們之間存在密切關係。根據魏德曼-弗朗茨定律,不同金屬在相同溫度下的熱導率與電導率的比值近似恆定。換句話說,對於熱阻有利的材料對於電導是不利的,反之亦然。
對於這個使用案例來說,由於溫度範圍相當有限,因此不需要應用於商業上可用的金屬的替代金屬。
在實現訊號和電源追蹤的行業上可用的金屬時,軟硬結合互連還是需要進行熱、電設計權衡。電阻和熱阻的設計公式如圖4所示。軟硬結合PCB追蹤越薄越長,熱阻就越大。這提供了一種方法,可以將熱阻設置為大於主要導熱塞,從而將CBT熱系統中的熱泄漏(即誤差)最小化。不幸的是,電阻也會增加。這可能會導致一些不良影響,如電源線電壓下降,PCB追蹤的溫度升高,以及I2C通信線的RC時間常數增加。

圖4. PCB 走線的電傳導和熱傳導。
在考慮 PCB 走線之前,應首先評估導熱塞的熱行為,以建立設計基準。熱路徑呈圓柱形,如圖5所示。

圖5. 導熱塞中的熱傳遞。
CBT 貼片導熱塞的熱阻可以通過以下方式計算,即知道材料的導熱性和尺寸:

轉向 PCB 追蹤的熱阻,我們需要考慮幾個問題:
► PCB 追蹤的熱阻應顯著大於 CBT 貼片導熱塞(例如,R TH(PCB 追蹤)≥ 100• R TH(導熱塞))。
► 需要了解溫度感測裝置(例如 MAX30208)的功率需求,並設計 PCB 追蹤尺寸,以最小化與貼片導熱塞的相關熱損失。低功耗溫度感測器設備(例如 MAX30208)可以很大程度上減輕這種情況。
► 與導熱塞核心接觸的 PCB 追蹤需檢查潛在的熱輻射。對於考慮熱的追蹤越小,I2R 熱傳輸誤差就越大。
► 對於給定橫截面積的 PCB 追蹤的總長度應適當,以確保大的熱阻(與 CBT 熱導塞相比)。
圖6顯示了各種使用的 PCB 金屬的熱/電特性。由於 PCB 制造中通常使用的金屬(例如金、銅、銀和鋁)的熱和電導率在同一量級內,因此特定的材料選擇並不支配我們的選擇。銅被選為成本、可用性和機械靈活性的原因(將在下一部分討論)。

圖6. 常見 PCB 導體屬性。
雖然銅的導熱性比 CBT 貼片導熱塞大 1000 多倍,但薄銅追蹤的尺寸被選擇為實現比 49.8 K/W(即 CBT 貼片導熱塞的熱阻)大得多的熱阻。
PCB 追蹤由 ½ 盎司銅(厚度為 17.3 微米)、1.5 微米鎳層和 0.1 微米金外層組成。鑑於這些的相對尺寸,所有即將進行的計算都僅假設銅芯 PCB 追蹤。

圖7. MAX30208 溫度感測器電源和信號線 PCB 追蹤。
每條 PCB 追蹤均以 76.2 微米(3 mil)的寬度製造,產生:

注意:雖然希望較小的追蹤寬度可以增加熱阻,但 PCB 製造廠對其最小追蹤寬度會有限制。例如,我們最初希望使用 2.5 mil 的追蹤寬度,但最終根據 PCB 製造廠的建議,我們使用了 3 mil 的追蹤寬度進行原型構建。
此外,每個 MAX30208 溫度設備都有一組相同尺寸設計的四(4)條追蹤。請參見圖 7。因此,整體熱阻會減少四倍(即並聯四條熱路),得到:

圖8. 突顯了每組四個溫度感測器I/O線到輸出連接器CN1的近似熱阻。

圖8. PCB追蹤熱阻估計。

圖9. CBT 貼片到介面板的連接。
具有最低熱阻的四條 I/O 訊號線(例如,TS1-CN1)比 CBT 導電插頭大約 380 倍。這滿足了我們的設計目標,即大於或等於 100 倍!此外,通過從連接器 CN1 到 MAX30208EVSYS 介面板的匯流排線擴展,這一點進一步得到改善。我們的原型系統使用了長度為 200 毫米(7.9 英寸)、28 號的 AWG 線,繞繞耳朵頂部到介面板下方。
注意:雖然熱阻足以隔離導熱核心內部的熱傳導,但需要考慮介面板中產生的熱量。如果足夠大,熱能可能導致回傳到 CBT 貼片中,導致錯誤。這對我們的評估系統並不是問題。
電氣系統的熱誤差補償
轉而關注電氣系統,我們將關注兩個主要關注點:(1)從 MAX30208 裝置產生的熱量(例如,自發熱),以及(2)從 PCB 追蹤中產生的熱量(例如,熱輻射)。這兩個來源都可能對熱系統的性能產生不利影響,通過向 CBT 貼片輸入(或排出)熱能。圖10 展示了 MAX30208 電路設計的一個代表性示意圖。

圖10. MAX30208 功能圖。
MAX30208(±0.1°C 準確度,I2C)數字溫度傳感器之所以被選中,是因為它的準確性和低功耗要求。CBT 貼片的電氣系統由位於 MCU 介面板上的穩壓 1.8V 直流電源供應。作為主要的熱能來源,I2C 上拉電阻位於 MCU 板上。CBT 貼片的剛性-柔性 PCB 上沒有實現 I2C 上拉電阻。
表1列出了在37°C操作時每個I/O引腳上的電流和電壓水平。這些值是從MAX30208數據表的電氣表和相應的TOC圖中推斷出來的。

大部分的功耗來自於I2C訊號線和電源線,如果連續操作,則大約會產生約810 µW的功率。由於溫度訊號變化不會很快,可以使用週期性取樣。這不僅有助於數據管理,還可以減少整體功耗。這反過來又有助於減輕MAX30208器件和相關訊號和電源線的熱耗散。
MAX30208實現了典型的15毫秒的積分周期。以1赫茲的採樣率計算,平均功耗大約為:

雖然封裝熱阻通常在數據表中報告,但設計師在用於熱流估算時需要謹慎。θ jA(熱阻,結至環境)和θ jC(熱阻,結至外殼)均按照JEDEC環境進行評估,這可能與實際應用有很大不同。它們通常被用作相互競爭的設備之間進行比較的有效指標值。
因此,不建議使用環境溫度來預測結溫。特別是由於本應用中的溫度傳感器被夾在絕緣和非絕緣材料之間。
由於MAX30208溫度測量電路在集成電路上,因此我們最感興趣的是晶片的自發熱。該器件被設計用於測量封裝頂部(或底部)的外部溫度。假設外殼溫度與晶片溫度相同,我們可以估算自發熱引起的溫度誤差如下:

考慮到我們的尺寸遠小於MAX30208的精度(例如,±0.1°C),假設外殼和晶片溫度相同是可以接受的。
備註:這不一定總是成立,晶片溫度可能需要特性化。一種有用的技術是使用常見於IC I/O線上的ESD二極管作為溫度傳感器,以對IC晶片的溫度升高進行特性化。
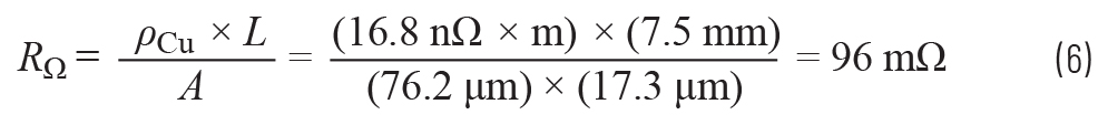
接下來,我們將注意力轉向導電核心區域中PCB線路的I2R熱輻射。參考圖8,從TS1或TS4到導電核心外緣的距離為7.5毫米。使用單個PCB線路的電阻(見圖4中的公式)和銅的電阻率,我們可以計算如下:

使用SCL和SDA訊號線的最大電流為383 µA pk,我們計算單個PCB線路的熱輻射值如下:

這對SOI熱系統來說是可以忽略不計的。此外,這是在沒有實施定期採樣的情況下的絕對最壞情況水平。總之,MAX30208自發熱和PCB線路在導電核心中的熱輻射所產生的熱誤差影響微乎其微。

圖 11. CBT 貼片的示意圖。
線路電壓降也在可接受的範圍內。最長的線路長度是 88 毫米(從 TS4 到 CN1),再加上連接到 MAX3020x 介面板的 200 毫米 28 號 AWG(0.32 毫米直徑)線。使用相同的電阻公式計算最長線路的電阻,得到以下結果:

使用 V DD 的最大電流為 67 µA,我們計算線路電壓降如下:

這個電壓降足夠小,不會對供電擊退產生問題。
雖然我們已經強調了用於CBT貼片的硬軟結合PCB的主要熱和電設計考慮因素,但強烈建議進行有限元分析(FEA)。在製作第一批貼片之前,進行了一次FEA(熱)以進行瞬態分析驗證。本文未討論熱和電容,雖然在此應用中它們都沒有對性能產生顯著影響,但建議在設計階段進行這些分析。圖11顯示了CBT裝置的示意圖,突出了用於減少熱流並實現2層聚酰亞胺硬軟結合板中的電互連的PCB跟蹤分支。
佈局設計考量機械結構和可靠性
軟硬結合電路是常規硬質PCB和柔性電路的混合構造。儘管此電路設計為能夠機械上與人類額頭進行合規附著,但仍有幾個需要剛性的關鍵位置。這些位置包括:
► 九個SMT元件附件點。
► 從圓形電路區域延伸到溫度傳感器(TS4)的電路指。
► 從圓形電路區域延伸到連接器(CN1)的電路指。
► 剛性到柔性電路的邊界。
通常使用焊膠回流來附著SMT元件。因此,組裝的元件可能需要放置在硬質PCB材料上,以保持焊接接頭的完整性。由於彈性PCB材料上的SMT元件具有較少的應變緩解,因此必須小心處理。即使使用案例涉及相對自由的物理干擾,也需要考慮長期可靠性的處理和下一級組裝。
典型的PCB加強件使用FR4、聚酰胺、聚酰亞胺和/或金屬製成。在我們的CBT貼片中,我們使用4 mil厚度的聚酰亞胺作為柔性區域,並使用12 mil厚度的聚酰亞胺作為加固區域。為了加固目的,柔性指電路被金屬片加固。
CBT貼片原型是作為一個平面硬軟結合組件製造的,隨後需要進行兩次靜態彎曲。如圖10所示,從圓形電路區域延伸到TS4溫度傳感器的電路指需要進行兩次90°彎曲才能最終組裝。

圖 12. TS4 軟性指的靜態彎曲。
採用磚石圖案的金屬片段來構造 TS4 柔性指設計,以減輕單次靜態彎曲所帶來的疲勞。圖 13 顯示了交錯的磚石圖案加固件以及頸部區域的加固,以減輕軟硬界面的機械應力。此外,磚石圖案中的斷裂還消除了沿著這些金屬路徑的熱傳導。這種設計技術也在從圓形電路區域延伸到連接器(CN1)的電路指上模擬。

圖 13. 交錯的磚石圖案柔性指加固件。
其他需要考慮的地方包括避免 90° 的轉角(例如,應力濃聚的點)以及可能實施預形件製作。
製造考量與指南
為了製造出堅固可靠的設計,建議設計者與 PCB 製造和組裝廠密切合作。在第一篇文章製造之前,應審查所有電氣、熱和機械方面的設計細節。在許多情況下,製造/組裝廠擁有可用於設計增強的替代材料和/或技術。
在開發 CBT 貼片硬軟板 PCBA 過程中,必須克服幾個重要障礙:
所使用的焊膏材料和焊膏回流曲線。最初使用標準的回流焊膏,導致剝離(見圖 14)。這尤其不利,因為充當絕緣體的氣泡將影響硬軟板的熱傳導。這最終是通過使用替代的低溫共晶焊料來緩解的。
焊膏回流曲線必須在幾個批次中進行微調,以達到可接受的良率。

圖 14. CBT 貼片硬軟板 PCB 剝層現象。
結論
本文討論了設計考量,以幫助減輕高準確度熱流應用的技術障礙。具體來說,論述了如何實施準確、低功耗的設備(例如,MAX30208 溫度感測器)可以滿足核心體溫貼片的性能要求。通過適當的元件選擇和應用良好的設計技術,可以正確平衡熱-電-機械的權衡,從而實現成功的設計。
致謝
作者感謝以下人士為 CBT 貼片設備的開發所做的努力和貢獻:德州 A&M 工程試驗站(TEES)、德州 A&M 大學的 John Hanks 博士、Amir Zavereh 博士、Limei Tian 博士、Miguel Rosas(現為 Empower)、Saifur Rahman、Brittany Tran(現為 Arkansas 骨科醫學院的學生)、Cody Carlisle、Christian Orred(現為 Argon Medical Devices Inc.)、Ricky Lee(現為 Rook Quality Systems)、Savannah Rhodes(現為 SageSensor),以及來自 Analog Devices Inc. 的 Greg Schilling、Fahad Masood、Don Elloway 和 Ian Chen(現為 Silvaco Inc.)。
參考資料
1 Amir Tofighi Zavareh, Brittany Tran, Christian Orred, and Savannah Rhodes. “Soft Wearable Thermal Devices Integrated with Machine Learning.” Advanced Materials Technologies, May 2023.
2 “Wiedermann-Franz Law.” Wikipedia, April 13, 2023.
3 Clyde Cloombs. Printed Circuits Handbook 5th Edition. Chapter 3 – Advanced Packaging (Table 3.4). McGraw-Hill Professional; 5th edition (August 2001).
4 “TN-00-08: Thermal Applications.” Micron, July 2022.
5 “MT-093 Tutorial: Thermal Design Basics.” Analog Devices Inc., 2009.
“Application Note 4646: Use Thermal Analysis to Predict an IC’s Transient Behavior and Avoid Overheating.” Analog Devices, Inc.
“Tutorial 4083: Thermal Characterization of IC Packages.” Analog Devices, Inc.
“Application Note 5873: Package Thermal Analysis Calculator Tutorial.” Analog Devices, Inc.
“Application Note 3930: Package Thermal Resistance Values (Theta JA, Theta JC) for Temperature Sensors and 1-Wire Devices.” Analog Devices, Inc.
作者簡介
Marc Smith 是 Analog Devices 的健康和醫療生物感測應用的首席工程師。他是 MEMS 和感測器技術的行業專家,擁有超過30年的感測器產品和多個市場的電子產品開發經驗。Marc 擁有12項專利,並撰寫了十多篇論文。他在加州大學伯克利分校獲得了電機工程學士學位,並在加州聖瑪麗學院獲得了工商管理碩士學位。
安馳科技 FAE support. Please e-mail
► Marketing.anstek@macnica.com
► 或加 安馳科技 LINE 洽詢
► 追蹤 安馳科技 Facebook
► 請加入 安馳YouTube頻道
► 立即填寫料號 申請樣品
洽詢更新產品、技術與安馳抽獎活動